Motivating Example

Motivating Example

  • Kick off the workshop by exploring a real data set using R!

  • Goal: get the flavor of using R for data management and exploration

  • Don’t worry about understanding all the coding right away

  • We will go back and explain how it all works in detail

  • Follow along using 2-MotivatingExample.R

  • Tip: Using “#” in your R File to take notes

    • Super important to document your code!

Getting Started

Let’s begin by installing and loading tidyverse:

install.packages("tidyverse")
library(tidyverse)

This workshop will focus largely on a group of packages that live together under the name tidyverse.

tidyverse includes the following well known packages:

  • ggplot2
  • dplyr
  • tidyr
  • readr
  • and more!

Salmonella Shedding Data

  • Fecal Salmonella shedding recorded over the course of 21 days

  • Several variables were recorded for each pig at certain time points:

    • Amount of Salmonella in feces (log10)
    • Pig weight (kg)
    • Dietary treatment group
  • Primary Question: Do the different dietary treatments affect Salmonella shedding?

First look at data in R

Let’s use R to look at the top few rows of the Salmonella shedding data set. First, we load the data set using read_csv:

shed <- read_csv("https://unl-statistics.github.io/R-workshops/r-intro/data/daily_shedding.csv")

Now, we use the head function to look at the first 6 rows of the data:

head(shed)
# A tibble: 6 × 12
  pignum time_point pig_weight  temp pan_wt wet_wt Dry_wt_pan Dry_weight
   <dbl>      <dbl>      <dbl> <dbl>  <dbl>  <dbl>      <dbl>      <dbl>
1     77          2         NA  103.   1.02   1.09       1.31       0.29
2     87          2         NA  104.   1.04   1.02       1.33       0.29
3    122          2         NA  104.   1.02   0.99       1.11       0.09
4    160          2         NA  104.   1.09   1          1.36       0.27
5    191          2         NA  104.   1.03   1.02       1.27       0.24
6    224          2         NA  103    1.08   1          1.39       0.31
# ℹ 4 more variables: percent_drymatter <dbl>, daily_shedding <dbl>,
#   treatment <chr>, total_shedding <dbl>

Salmonella Shedding Data: Attributes

How big is this data set, and what types of variables are in each column?

str(shed)
spc_tbl_ [295 × 12] (S3: spec_tbl_df/tbl_df/tbl/data.frame)
 $ pignum           : num [1:295] 77 87 122 160 191 224 337 345 419 458 ...
 $ time_point       : num [1:295] 2 2 2 2 2 2 2 2 2 2 ...
 $ pig_weight       : num [1:295] NA NA NA NA NA NA NA NA NA NA ...
 $ temp             : num [1:295] 103 104 104 104 104 ...
 $ pan_wt           : num [1:295] 1.02 1.04 1.02 1.09 1.03 1.08 1.03 1.09 1.07 1.04 ...
 $ wet_wt           : num [1:295] 1.09 1.02 0.99 1 1.02 1 1.02 0.99 1.07 1.06 ...
 $ Dry_wt_pan       : num [1:295] 1.31 1.33 1.11 1.36 1.27 1.39 1.3 1.24 1.38 1.26 ...
 $ Dry_weight       : num [1:295] 0.29 0.29 0.09 0.27 0.24 0.31 0.27 0.15 0.31 0.22 ...
 $ percent_drymatter: num [1:295] 26.61 28.43 9.09 27 23.53 ...
 $ daily_shedding   : num [1:295] 5.3 5.7 13.22 6.75 5.86 ...
 $ treatment        : chr [1:295] "control" "control" "control" "control" ...
 $ total_shedding   : num [1:295] 2.3 2.48 5.74 2.93 2.54 ...
 - attr(*, "spec")=
  .. cols(
  ..   pignum = col_double(),
  ..   time_point = col_double(),
  ..   pig_weight = col_double(),
  ..   temp = col_double(),
  ..   pan_wt = col_double(),
  ..   wet_wt = col_double(),
  ..   Dry_wt_pan = col_double(),
  ..   Dry_weight = col_double(),
  ..   percent_drymatter = col_double(),
  ..   daily_shedding = col_double(),
  ..   treatment = col_character(),
  ..   total_shedding = col_double()
  .. )
 - attr(*, "problems")=<externalptr> 

Salmonella Shedding: Variables

Let’s get a summary of the values for each variable:

summary(shed)
     pignum        time_point     pig_weight         temp           pan_wt     
 Min.   :  6.0   Min.   : 0.0   Min.   : 9.48   Min.   :101.2   Min.   :1.000  
 1st Qu.:119.0   1st Qu.: 2.0   1st Qu.:16.02   1st Qu.:102.4   1st Qu.:1.030  
 Median :224.0   Median : 7.0   Median :19.78   Median :102.9   Median :1.050  
 Mean   :234.7   Mean   : 8.8   Mean   :21.01   Mean   :102.9   Mean   :1.054  
 3rd Qu.:361.0   3rd Qu.:14.0   3rd Qu.:25.29   3rd Qu.:103.4   3rd Qu.:1.070  
 Max.   :472.0   Max.   :21.0   Max.   :36.30   Max.   :105.2   Max.   :1.120  
                                NA's   :59      NA's   :118     NA's   :122    
     wet_wt        Dry_wt_pan      Dry_weight    percent_drymatter
 Min.   :0.700   Min.   :1.110   Min.   :0.090   Min.   : 9.091   
 1st Qu.:1.000   1st Qu.:1.300   1st Qu.:0.250   1st Qu.:24.292   
 Median :1.020   Median :1.320   Median :0.280   Median :26.923   
 Mean   :1.026   Mean   :1.322   Mean   :0.268   Mean   :26.109   
 3rd Qu.:1.050   3rd Qu.:1.353   3rd Qu.:0.290   3rd Qu.:28.431   
 Max.   :1.110   Max.   :1.460   Max.   :0.380   Max.   :36.893   
 NA's   :123     NA's   :123     NA's   :123     NA's   :123      
 daily_shedding    treatment         total_shedding  
 Min.   : 0.000   Length:295         Min.   : 0.000  
 1st Qu.: 0.000   Class :character   1st Qu.: 1.699  
 Median : 3.912   Mode  :character   Median :13.904  
 Mean   : 3.765                      Mean   :17.423  
 3rd Qu.: 5.521                      3rd Qu.:30.893  
 Max.   :13.218                      Max.   :66.207  
                                                     

Scatterplots

Let’s look at the relationship between time point and Salmonella shedding.

ggplot(shed, aes(x=time_point, y=total_shedding)) + geom_point()

More Scatterplots

Color the points by treatment groups

ggplot(shed, aes(x=time_point, y=total_shedding, colour = treatment)) + geom_point()

More Scatterplots

Switch to lines for easier reading

ggplot(shed, aes(x=time_point, y=total_shedding, colour = treatment)) + geom_line(aes(group=pignum))

Even More Plots

Add faceting

ggplot(shed, aes(x=time_point, y=total_shedding, color=treatment)) + 
  geom_line(aes(group=pignum)) + 
  facet_wrap(~treatment)

Variable Creation and Data Filtering

We will make a new variable in the data: gain = weight at day 21 - weight at day 0.

We will then filter the data to only include the final values.

final_shed <- shed %>% 
  group_by(pignum) %>% 
  mutate(gain = pig_weight[time_point == 21] - pig_weight[time_point == 0]) %>% filter(time_point == 21) %>% ungroup() %>% select(-c(4:9))

summary(final_shed$gain)
   Min. 1st Qu.  Median    Mean 3rd Qu.    Max. 
   8.22   12.40   14.14   14.16   16.04   18.86 

Histogram

Let’s look distribution of the final shedding values with a histogram

ggplot(final_shed) + geom_histogram(aes(x = total_shedding))

One pig did not shed at all…

Which pig, and what treatment did it receive?

final_shed[which.min(final_shed$total_shedding),]
# A tibble: 1 × 7
  pignum time_point pig_weight daily_shedding treatment total_shedding  gain
   <dbl>      <dbl>      <dbl>          <dbl> <chr>              <dbl> <dbl>
1     97         21       24.9              0 RPS                    0  12.9

Shedding by Treatment

Look at the average cumulative shedding value for each treatment separately

# Using base `R`:
median(final_shed$total_shedding[final_shed$treatment == "control"])
[1] 44.42518
# then repeat for each treatment. Or ...

# Using `tidyverse`:
final_shed %>%  group_by(treatment) %>% 
  summarise(med_shed = median(total_shedding))
# A tibble: 6 × 2
  treatment med_shed
  <chr>        <dbl>
1 Acid          35.4
2 Bglu          37.6
3 RCS           39.4
4 RPS           29.1
5 Zn+Cu         44.1
6 control       44.4

Statistical Significance

There is a difference, but is it statistically significant?

wilcox.test(total_shedding ~ treatment, data = final_shed,
            subset = treatment %in% c("control", "RPS"))

    Wilcoxon rank sum exact test

data:  total_shedding by treatment
W = 75, p-value = 0.01327
alternative hypothesis: true location shift is not equal to 0

Boxplots

We could compare the cumulative shedding values of each treatment group with a side by side boxplot

ggplot(final_shed) + 
  geom_boxplot( aes(treatment, total_shedding, fill = treatment))

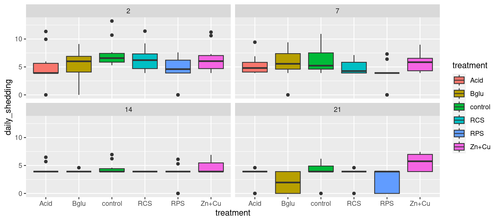
Boxplots Again

Alternatively, we could use the original data to compare the daily shedding values of each treatment group with side by side boxplots over time

shed %>% filter(time_point != 0) %>% ggplot() + 
  geom_boxplot( aes(treatment, daily_shedding, fill = treatment), position = "dodge")  + 
  facet_wrap(~time_point)

Your Turn

Try playing with chunks of code from this session to further investigate the Salmonella shedding data:

  1. Get a summary of the daily shedding values (use the shed data set)

  2. Make side by side boxplots of final weight gain by treatment group (use the final_shed data set)

  3. Compute a Wilcox test for control vs. the “Bglu” treatment group